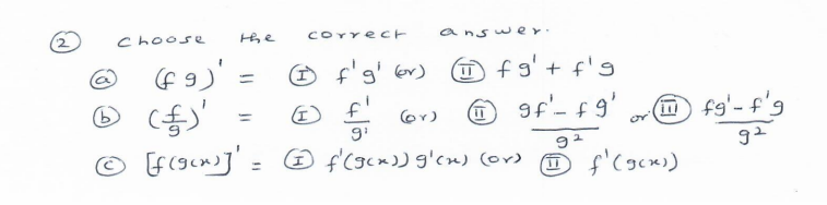
Question: (2) Choose the correct answer. (a) (fg)= (I) fg (or) (II) fg+fg (b) (gf)= (I) g1f (or) (ii) g29ffg or (iii) g2fgfg (C) [f(g(x)]= (I)

(2) Choose the correct answer. (a) (fg)= (I) fg (or) (II) fg+fg (b) (gf)= (I) g1f (or) (ii) g29ffg or (iii) g2fgfg (C) [f(g(x)]= (I) f(g(x))g(x) (or) (ii) f(g(x))
Step by Step Solution
There are 3 Steps involved in it
1 Expert Approved Answer
Step: 1 Unlock
Question Has Been Solved by an Expert!
Get step-by-step solutions from verified subject matter experts
Step: 2 Unlock
Step: 3 Unlock
