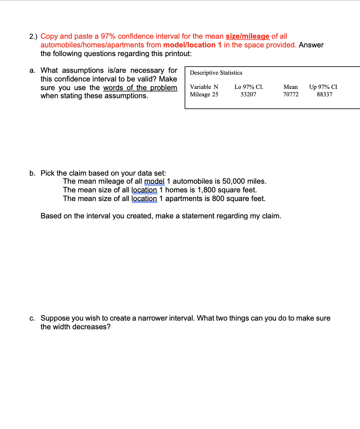
Question: 2.) Copy and paste a 97% confidence interval for the mean size/mileage of all automobiles/homes/apartments from model/location 1 in the space provided. Answer the following


2.) Copy and paste a 97% confidence interval for the mean size/mileage of all automobiles/homes/apartments from model/location 1 in the space provided. Answer the following questions regarding this printout: a. What assumptions is/are necessary for Descriptive Statistics this confidence interval to be valid? Make sure you use the words of the problem Variable N Lo 97% CI. Mean Up 97% CI when stating these assumptions. Mileage 25 53207 70772 88337 b. Pick the claim based on your data set: The mean mileage of all model 1 automobiles is 50,000 miles. The mean size of all location 1 homes is 1,800 square feet. The mean size of all location 1 apartments is 800 square feet. Based on the interval you created, make a statement regarding my claim. c. Suppose you wish to create a narrower interval. What two things can you do to make sure the width decreases
Step by Step Solution
There are 3 Steps involved in it
Get step-by-step solutions from verified subject matter experts
