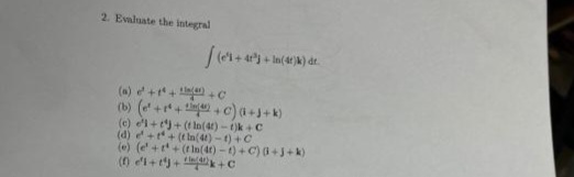
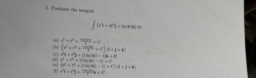
Question: 2. Evaluate the integral (1 + 4r) + 10(41 ) k) de. + +(60)-0+c


2. Evaluate the integral (1 + 4r) + 10(41 ) k) de. + +(60)-0+c
Step by Step Solution
There are 3 Steps involved in it
1 Expert Approved Answer
Step: 1 Unlock
Question Has Been Solved by an Expert!
Get step-by-step solutions from verified subject matter experts
Step: 2 Unlock
Step: 3 Unlock
