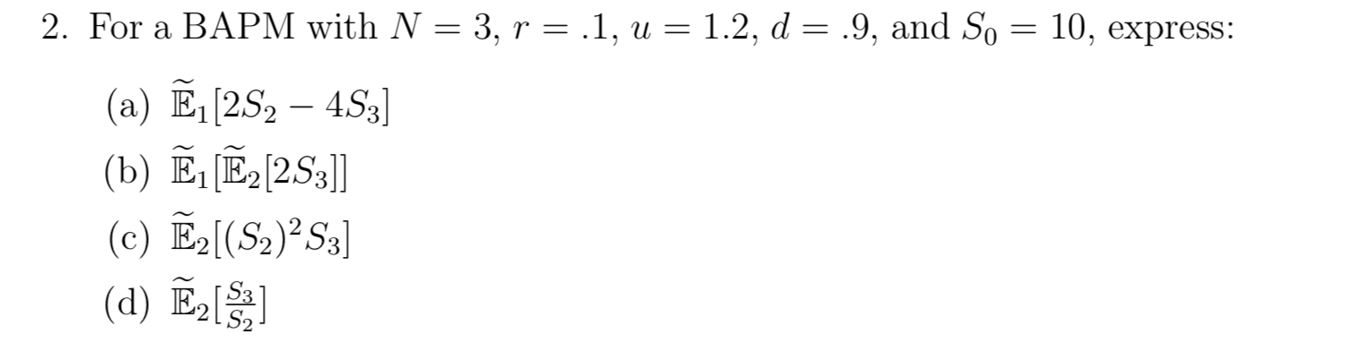
Question: 2. For a BAPM with N = 3, r = .1, u = 1.2, d = .9, and So = 10, express: (a) & [2S2

2. For a BAPM with N = 3, r = .1, u = 1.2, d = .9, and So = 10, express: (a) & [2S2 453] (b) E (E2 [293]] (e) 2[(S2)2S3] (d) [] 2. For a BAPM with N = 3, r = .1, u = 1.2, d = .9, and So = 10, express: (a) & [2S2 453] (b) E (E2 [293]] (e) 2[(S2)2S3] (d) []
Step by Step Solution
There are 3 Steps involved in it
Get step-by-step solutions from verified subject matter experts
