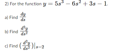
Question: 2) For the function y = 5s 6s- + 3s - 1. dy a) Find ds day b) Find ds2 c) Find ds2 s=2


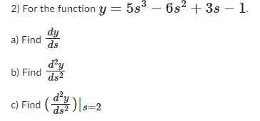
2) For the function y = 5s 6s- + 3s - 1. dy a) Find ds day b) Find ds2 c) Find ds2 s=2
Step by Step Solution
There are 3 Steps involved in it
1 Expert Approved Answer
Step: 1 Unlock
Question Has Been Solved by an Expert!
Get step-by-step solutions from verified subject matter experts
Step: 2 Unlock
Step: 3 Unlock
