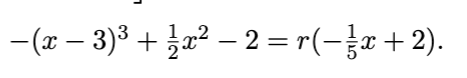
Question: 2. For this problem we will consider a system that obeys the following differential equation: 3) 2]
![3) 2]](https://s3.amazonaws.com/si.experts.images/answers/2024/06/6660ef26cdaff_7106660ef26b8a1c.jpg)

2. For this problem we will consider a system that obeys the following differential equation:


3) 2]
Step by Step Solution
There are 3 Steps involved in it
Get step-by-step solutions from verified subject matter experts
