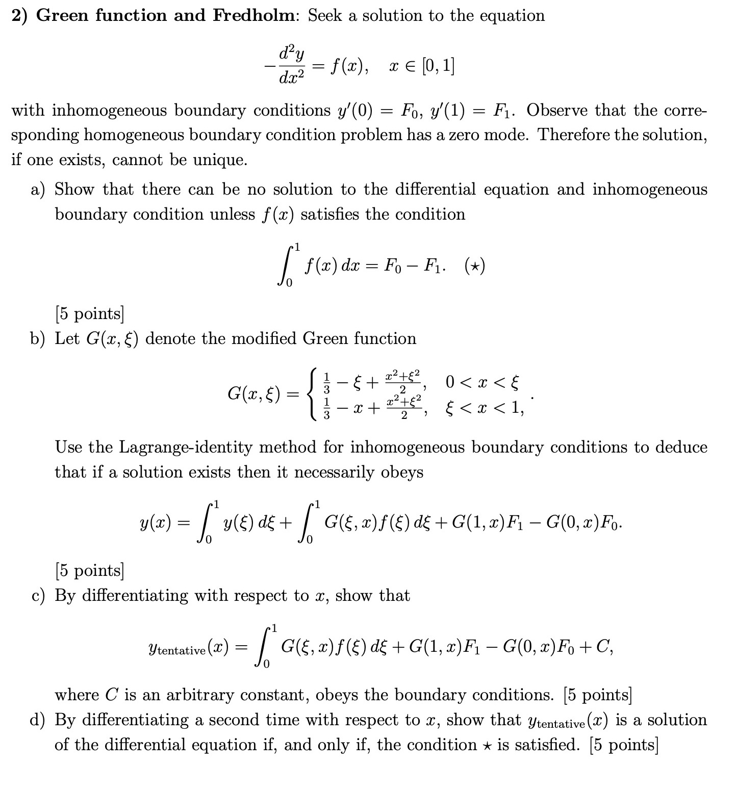
Question: 2) Green function and Fredholm: Seek a solution to the equation dig dmz =f($), 33 6 [0:1] with inhomogeneous boundary conditions y'(0) = F0, y'(1)

Step by Step Solution
There are 3 Steps involved in it
1 Expert Approved Answer
Step: 1 Unlock
Question Has Been Solved by an Expert!
Get step-by-step solutions from verified subject matter experts
Step: 2 Unlock
Step: 3 Unlock
