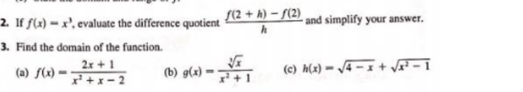
Question: 2. If f(x) - x', evaluate the difference quotient f(2 + h) - S(2) and simplify your answer. 3. Find the domain of the function.


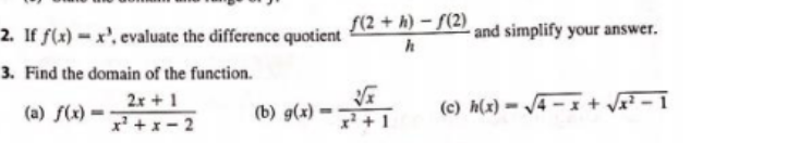
2. If f(x) - x', evaluate the difference quotient f(2 + h) - S(2) and simplify your answer. 3. Find the domain of the function. (a) f(x) = 2x + 1 x'+ x - 2 (b) g(x) = Vx (c) h(x) = v4 I + x' + 1
Step by Step Solution
There are 3 Steps involved in it
Get step-by-step solutions from verified subject matter experts
