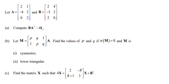
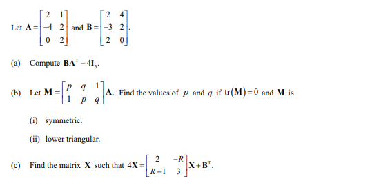
Question: 2 Let A= -4 2 and B= -3 2 0 2 (a) Compute BA -41. 1 (b) Let M = 1 A. Find the values


2 Let A= -4 2 and B= -3 2 0 2 (a) Compute BA -41. 1 (b) Let M = 1 A. Find the values of p and q if tr (M) =0 and M is (i) symmetric. (ii) lower triangular. 2 -R (c) Find the matrix X such that 4X = X+B. R+1 3
Step by Step Solution
There are 3 Steps involved in it
Get step-by-step solutions from verified subject matter experts
