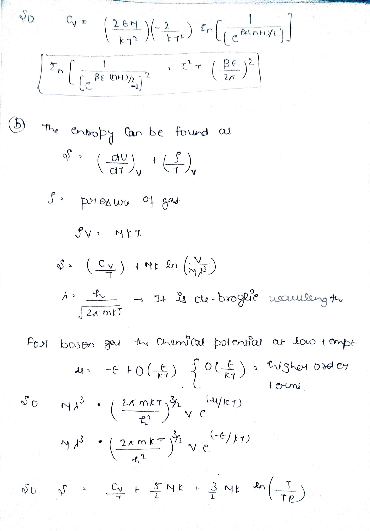
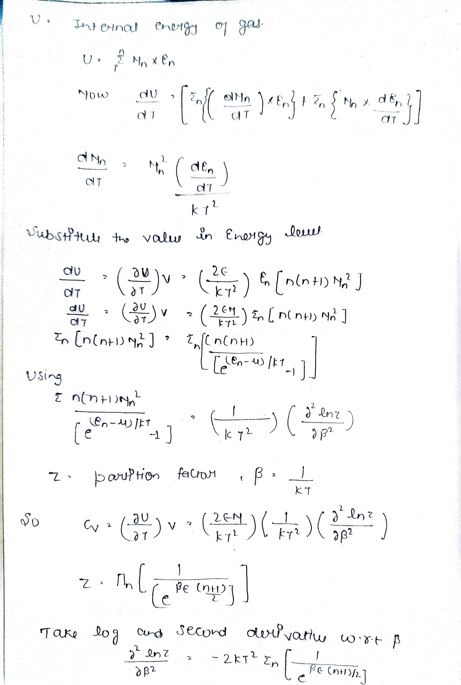
Question: 2 Problem 18-16 Show that for temperatures below the Bose temperature of a boson gas: 2.1 a Cv = (5/2) U/T 2.2 b S =





2 Problem 18-16 Show that for temperatures below the Bose temperature of a boson gas: 2.1 a Cv = (5/2) U/T 2.2 b S = (5/3)U/T 2.3 c F = -(2/3)U 2.4 d P = (2/3)U/Vwhere TB for ( 2 x m k ) ? is boson + empt 2 N / T ( 3 ) S N k + CV . The Helmholtz free energy can be found using the definition F - U- TS F Z U - SU 2 - 2 0 The pressure Can be found using ideal gers S V z NKT 2 U ON/ N f V z 2 U col SV 2 2 2 2 . W/N
Step by Step Solution
There are 3 Steps involved in it
Get step-by-step solutions from verified subject matter experts
