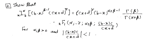
Question: ( 2 ) Show that x x [ ( b - x ) - 1 ( c x + d ) ] = ( c
Show that
For
For and
Step by Step Solution
There are 3 Steps involved in it
1 Expert Approved Answer
Step: 1 Unlock
Question Has Been Solved by an Expert!
Get step-by-step solutions from verified subject matter experts
Step: 2 Unlock
Step: 3 Unlock
