Question: 2. Simple Payback & Return on Investment One option to conserve water is to replace lawn grass (turf) with artificial turt. Professor Reichenberger is considering
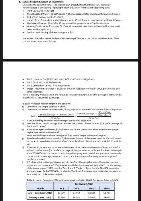
2. Simple Payback & Return on Investment One option to conserve water is to replace lawn grass (turf) with artificial turt. Professor Reichenberger is considering replacing the turt grass in his front with the following data: Front Lawn Area - 425 sq ft Annual Applied Water - 50 gal year/sq ft of grass (accounts for irrigation efficiency and losses) Cost of Turf Replacement - $15/sqft Useful Life = 12 years (some state 8 years; some 15 to 20 years: Unproven so we'll use 12 years Washdown Once per Month for 10 minutes with a garden hose at 5 gallons/minute. Mowing/Gardener for front lawn $25/month estimated. (Gardener still needed for plants and trees, and backyard etc.) Fertiiter and Topping of Grass once/year - $25 The Water Utility that serves Professor Reichenberger's house is the City of Monterey Park. Their current water rates are as follows: Tier 1 (1 to 6 HCF) $2.33/100 cu ft (1 HCF 100 cu ft 748 gallons) Tier 2 (7-12 HCF) - $2.53/100 cuft Tier 3 (more than 13 HCF) = $2.71/100 cuft Water Treatment Surcharge = 37.5% for water charges (for removal of Vocs, perchlorate, and other chemicals) Tier 1 is typically what is used in the house; so for analysis purposes use the average of Tiers 2 and 3 plus the Water Treatment Surcharge To assist Professor Reichenberger in the decision: #) Determine the simple payback in years. Determine the Return on Investment, if any, express as a percent and use this form of equation: Annual Savings - Annual Costs Annual Savings - user use ROI First Cost First Cost c) Is this something Professor Reichenberger should do? State why How would you results change if you were to use current LADWP rates of $7.87/HCF (average of Tier 1 and 2 rates)? el of the water agency offered a 52/sq ft rebate to do the conversion, what would be the simple payback period with the rebate? # What would the rebate have to be per sqft to have a simple payback of 10 years? & Based on the rebate determined in determine the cost of the water saved in /acreft based on the water saved over the useful life of the artificial turf. Recall: 1 acre-ft- 43.560 43.56 HOF At if the cost to provide advanced water treatment of secondary wastewater effluent suitable for indirect potable reuse .e., surface recharge of the groundwater table, not for direct drinking) is about $2.500/acre It is the turf conversion rebate program in parts and g above a reasonable cost to pay to encourage people to convert or is it way too much money for what is gained? Justify your answer. if Professor Reichenberger's house were in the City of Los Angeles where the water rates are higher and the rebate was 52/sqft, what would the simple payback period be? Use the average of the January June (2021) rates for Tiers 1 and 2 (Table 1). Note that the Tier HCF quantities are much larger for LADWP which is why the Tier 1 and 2 are more appropriate for comparison for a small turf replacement project. Table 1: July to December 2020 and January to June 2021 LADWP Tier Water Rates in S/HCF. Tier Rates (S/HCF) Month Tier 2 Tier 3 July-December (2020) $7.009 $7.942 $8.688 $8.727 January - June (2021) $7.550 $8.181 $8.927 $9.060 Tier 1 Tier 4 2. Simple Payback & Return on Investment One option to conserve water is to replace lawn grass (turf) with artificial turt. Professor Reichenberger is considering replacing the turt grass in his front with the following data: Front Lawn Area - 425 sq ft Annual Applied Water - 50 gal year/sq ft of grass (accounts for irrigation efficiency and losses) Cost of Turf Replacement - $15/sqft Useful Life = 12 years (some state 8 years; some 15 to 20 years: Unproven so we'll use 12 years Washdown Once per Month for 10 minutes with a garden hose at 5 gallons/minute. Mowing/Gardener for front lawn $25/month estimated. (Gardener still needed for plants and trees, and backyard etc.) Fertiiter and Topping of Grass once/year - $25 The Water Utility that serves Professor Reichenberger's house is the City of Monterey Park. Their current water rates are as follows: Tier 1 (1 to 6 HCF) $2.33/100 cu ft (1 HCF 100 cu ft 748 gallons) Tier 2 (7-12 HCF) - $2.53/100 cuft Tier 3 (more than 13 HCF) = $2.71/100 cuft Water Treatment Surcharge = 37.5% for water charges (for removal of Vocs, perchlorate, and other chemicals) Tier 1 is typically what is used in the house; so for analysis purposes use the average of Tiers 2 and 3 plus the Water Treatment Surcharge To assist Professor Reichenberger in the decision: #) Determine the simple payback in years. Determine the Return on Investment, if any, express as a percent and use this form of equation: Annual Savings - Annual Costs Annual Savings - user use ROI First Cost First Cost c) Is this something Professor Reichenberger should do? State why How would you results change if you were to use current LADWP rates of $7.87/HCF (average of Tier 1 and 2 rates)? el of the water agency offered a 52/sq ft rebate to do the conversion, what would be the simple payback period with the rebate? # What would the rebate have to be per sqft to have a simple payback of 10 years? & Based on the rebate determined in determine the cost of the water saved in /acreft based on the water saved over the useful life of the artificial turf. Recall: 1 acre-ft- 43.560 43.56 HOF At if the cost to provide advanced water treatment of secondary wastewater effluent suitable for indirect potable reuse .e., surface recharge of the groundwater table, not for direct drinking) is about $2.500/acre It is the turf conversion rebate program in parts and g above a reasonable cost to pay to encourage people to convert or is it way too much money for what is gained? Justify your answer. if Professor Reichenberger's house were in the City of Los Angeles where the water rates are higher and the rebate was 52/sqft, what would the simple payback period be? Use the average of the January June (2021) rates for Tiers 1 and 2 (Table 1). Note that the Tier HCF quantities are much larger for LADWP which is why the Tier 1 and 2 are more appropriate for comparison for a small turf replacement project. Table 1: July to December 2020 and January to June 2021 LADWP Tier Water Rates in S/HCF. Tier Rates (S/HCF) Month Tier 2 Tier 3 July-December (2020) $7.009 $7.942 $8.688 $8.727 January - June (2021) $7.550 $8.181 $8.927 $9.060 Tier 1 Tier 4
Step by Step Solution
There are 3 Steps involved in it
Get step-by-step solutions from verified subject matter experts
