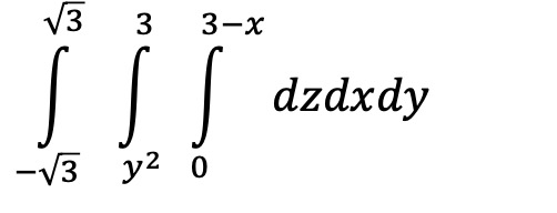
Question: 2. Sketch the solid whose volume is given by the integral. f
2.
Sketch the solid whose volume is given by the integral.

\f
Step by Step Solution
There are 3 Steps involved in it
1 Expert Approved Answer
Step: 1 Unlock
Question Has Been Solved by an Expert!
Get step-by-step solutions from verified subject matter experts
Step: 2 Unlock
Step: 3 Unlock
