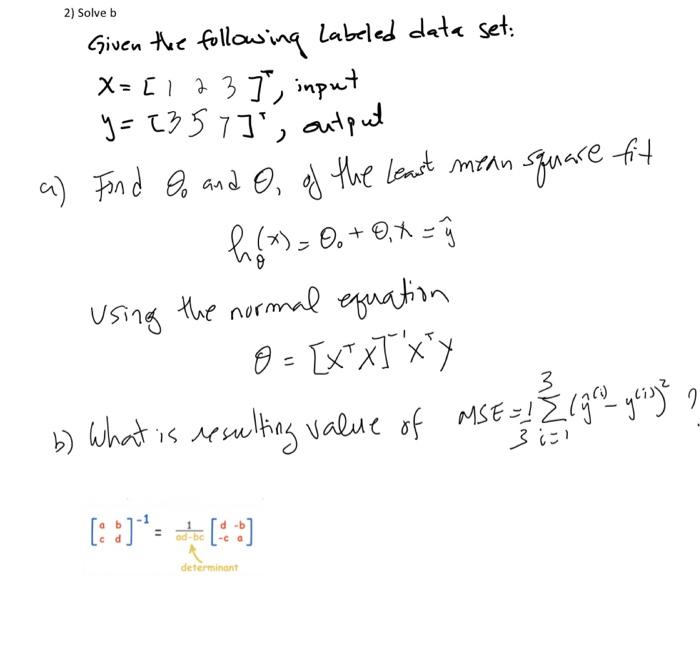
Question: 2) Solve b Given the following labeled data set: x=[123], input y=[357], autput Find 0 and ,of the least menn square fit h(x)=0+,x=y^ Using the
2) Solve b Given the following labeled data set: x=[123], input y=[357], autput Find 0 and ,of the least menn square fit h(x)=0+,x=y^ Using the normal equation =[xX]1xy b) What is resulting value of MSE =31i=13(y^(i)y(i))2 ? [a0bd]1=cbbc1[dcb0]
Step by Step Solution
There are 3 Steps involved in it
Get step-by-step solutions from verified subject matter experts
