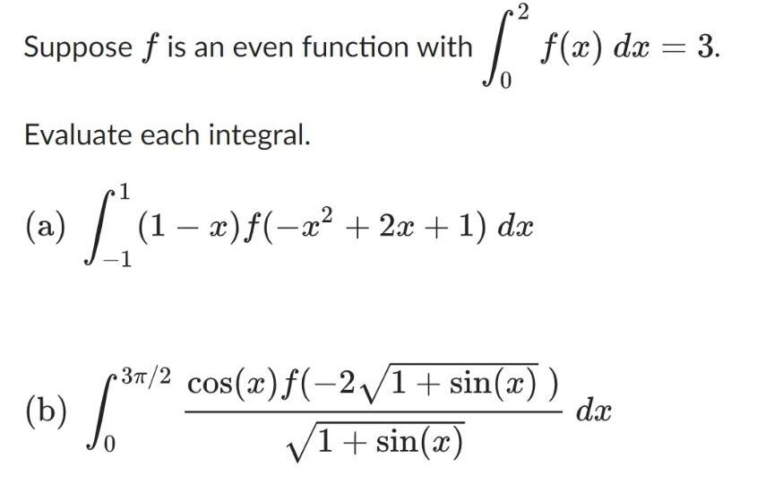
Question: 2 Suppose f is an even function with f(x) dx = 3. Evaluate each integral. 1 (a) / (1 x) f( x + 2x
2 Suppose f is an even function with f(x) dx = 3. Evaluate each integral. 1 (a) / (1 x) f( x + 2x + 1) d (b) L 0 -1 - 3/2 cos(x)f(-2 1 + sin(x)) 1+sin(x) dx
Step by Step Solution
There are 3 Steps involved in it
Get step-by-step solutions from verified subject matter experts
