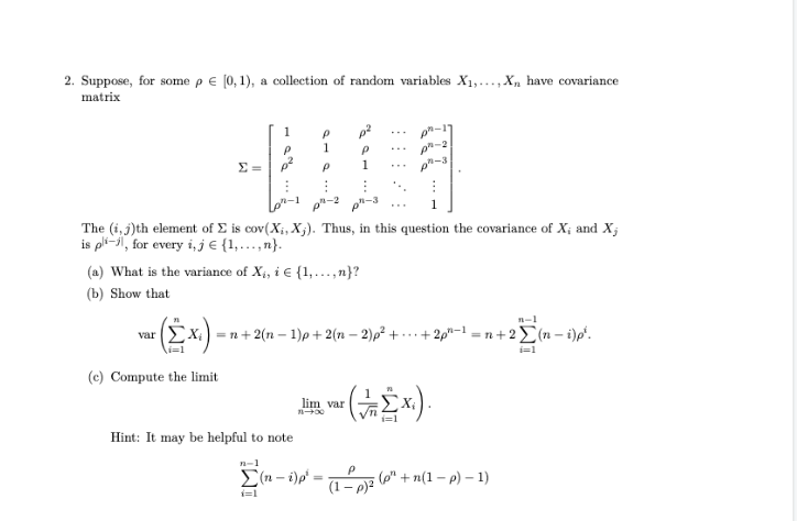
Question: 2. Suppose, for some p E [0, 1), a collection of random variables X1, ..., X, have covariance matrix . .. S = -2 The

2. Suppose, for some p E [0, 1), a collection of random variables X1, ..., X, have covariance matrix . .. S = -2 The (i, j)th element of E is cov( Xi, X;). Thus, in this question the covariance of X, and Xj is pli-il, for every i, j e {1, ..., n}. (a) What is the variance of X,, i c {1, ...,n}? (b) Show that n-1 var Ex.) =n+2(n -1)p+2(n -2)p3+ ... +20#-1=n+2 )(n- i)p'. i=1 (c) Compute the limit 1-+00 lim var (XX.). Hint: It may be helpful to note p (1 - ) (" + n(1 - p) - 1)
Step by Step Solution
There are 3 Steps involved in it
Get step-by-step solutions from verified subject matter experts
