Question: 2 Suppose that a bond with maturity value m = 100 pays a coupon of c = 2.5 for four years (t = 4). Assume

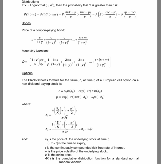
2 Suppose that a bond with maturity value m = 100 pays a coupon of c = 2.5 for four years (t = 4). Assume that the yield is y = 3.1%. Find: a) The price of the bond. [2 marks] b) Macauley Duration [2 marks) Refer to the bond described above as bond 1, and assume that another bond (bond 2) is also available with m = 100, c = 3.65, T = 8, y = 3.4%. c) A company has signed a contract to pay 1m to a client in five years' time. In what combination should the company purchase the two bonds in order to eliminate interest rate risk? [3 marks) Consider C grade bonds with average cumulative default rate 18.1 for year 4 and 21.53 for year 5. d) For these bonds, what is the 1-year hazard rate for the 5'd year? [2 marks) To fund an expansion in its operations Company X has just issued 10-year zero coupon bonds with a total face value of 95 million, taking its total asset value to 95 million e) Explain how the value of the bonds can be expressed in terms of a European put option and in terms of European call option. (4 marks] f) Calculate the fair price of a holding of company bonds with face value of 100 using Black-Scholes model, given that the price of a 10-year zero-coupon government bond is 78.6627. Assume that the annualized volatility of the company's asset's over 10-year period is 32%. [3 marks] g) Estimate the risk-neutral probability of default on the company's bond. [1 mark] Suppose that a stock price at time zero is So = 61. The continuously compounded risk free rate is 2.7%. A European call option written on the stock with a strike price of 61 and time to expiry t = 1 year has delta of 0.592 and trades for 6.1238. h) Find the implied volatility of the stock to the nearest 1%. [3 marks) Inn Distributions If Y - Lognormal (H, 02), then the probability that Y is greater than c is: InY - Inc -) Inc - P(Y > c) = P(InY > Inc) =P > Inc 4= P(Z > Inc 4) = 4(4-Inc) o Bonds Price of a coupon-paying bond: 1+y*(1 + y)2 + (1+yja Cum (1+y)' Macaulay Duration: 1xc + + +...+ (1+ y ap 1 D=-1 2xc 3xc 7x(c+m) P Jay P (1+y) (1+y)? (1+y) (1+y)' Options The Black-Scholes formula for the value, c, at time t, of a European call option on a non-dividend-paying stock is: c = S.Pd.) - exp(-re) K(dz) p = exp(-ri)K(-d) -5,0(-d) where: In m)+(r+ ) de ore S In d, -=d, -ovi ov and: St is the price of the underlying stock at time t, T (=T-t) is the time to expiry, r is the continuously compounded risk-free rate of interest, o is the price volatility of the underlying stock, K is the strike price, 0(.) is the cumulative distribution function for a standard normal random variable. Table 1: The standard normal distribution function 0 0.01 0.02 0 0.5 0.504 0.508 0.1 0.5398 0.5438 0.5478 0.2 0.5793 0.5832 0.5871 0.3 0.6179 0.6217 0.6255 0.4 0.6554 0.6591 0.6628 0.5 0.6915 0.695 0.6985 0.6 0.7257 0.7291 0.7324 0.7 0.758 0.7611 0.7642 0.8 0.7881 0.791 0.7939 0.9 0.8159 0.8186 0.8212 1 0.8413 0.8438 0.8461 1.1 0.8643 0.8665 0.8686 1.2 0.8849 0.8869 0.8888 1.3 0.9032 0.9049 0.9066 1.4 0.91920.9207 0.9222 1.5 0.9332 0.9345 0.9357 1.6 0.9452 0.9463 0.9474 1.7 0.9554 0.9564 0.9573 1.8 0.9641 0.9649 0.9656 1.9 0.9713 0.9719 0.9726 2 0.9772 0.9778 0.9783 2.1 0.9821 0.9826 0.983 2.2 0.9861 0.9864 0.9868 2.3 0.9893 0.9896 0.9898 2.4 0.9918 0.992 0.9922 2.5 0.9938 0.994 0.9941 2.6 0.9953 0.9955 0.9956 2.7 0.9965 0.9966 0.9967 2.8 0.9974 0.9975 0.9976 2.9 0.9981 0.9982 0.9982 0.9987 0.9987 0.9987 3.1 0.999 0.9991 0.9991 3.2 0.9993 0.9993 0.9994 3.3 0.9995 0.9995 0.9995 3.4 0.9997 0.9997 0.9997 3.5 0.9998 0.9998 0.9998 3.6 0.9998 0.9998 0.9999 3.7 0.9999 0.9999 0.9999 3.8 0.9999 0.9999 0.9999 0.03 0.04 0.05 0.06 0.07 0.08 0.09 0.512 0.516 0.5199 0.5239 0.5279 0.5319 0.5359 0.5517 0.5557 0.5596 0.5636 0.5675 0.5714 0.5753 0.591 0.5948 0.5987 0.6026 0.6064 0.6103 0.6141 0.6293 0.6331 0.6368 0.6406 0.6443 0.648 0.6517 0.6664 0.67 0.6736 0.6772 0.6808 0.6844 0.6879 0.7019 0.7054 0.7088 0.7123 0.7157 0.719 0.7224 0.7357 0.7389 0.7422 0.7454 0.7486 0.7517 0.7549 0.7673 0.7704 0.7734 0.7764 0.7794 0.7823 0.7852 0.7967 0.7995 0.8023 0.8051 0.8078 0.8106 0.8133 0.8238 0.8264 0.8289 0.8315 0.834 0.8365 0.8389 0.8485 0.8508 0.8531 0.8554 0.8577 0.8599 0.8621 0.8708 0.8729 0.8749 0.877 0.879 0.881 0.883 0.8907 0.8925 0.8944 0.8962 0.898 0.8997 0.9015 0.9082 0.9099 0.9115 0.9131 0.9147 0.9162 0.9177 0.9236 0.9251 0.9265 0.9279 0.9292 0.9306 0.9319 0.937 0.9382 0.9394 0.9406 0.9418 0.9429 0.9441 0.9484 0.9495 0.9505 0.9515 0.9525 0.9535 0.9545 0.9582 0.9591 0.9599 0.9608 0.9616 0.9625 0.9633 0.9664 0.9671 0.9678 0.9686 0.9693 0.9699 0.9706 0.9732 0.9738 0.9744 0.975 0.9756 0.9761 0.9767 0.9788 0.9793 0.9798 0.9803 0.9808 0.98120.9817 0.9834 0.9838 0.98420.9846 0.985 0.9854 0.9857 0.9871 0.9875 0.9878 0.9881 0.9884 0.9887 0.989 0.9901 0.9904 0.9906 0.9909 0.9911 0.9913 0.9916 0.9925 0.9927 0.9929 0.9931 0.9932 0.9934 0.9936 0.9943 0.9945 0.9946 0.9948 0.9949 0.9951 0.9952 0.9957 0.9959 0.996 0.9961 0.9962 0.9963 0.9964 0.9968 0.9969 0.997 0.9971 0.9972 0.9973 0.9974 0.9977 0.9977 0.9978 0.9979 0.9979 0.998 0.9981 0.9983 0.9984 0.9984 0.9985 0.9985 0.9986 0.9986 0.9988 0.9988 0.9989 0.9989 0.9989 0.999 0.999 0.9991 0.9992 0.9992 0.9992 0.9992 0.9993 0.9993 0.9994 0.9994 0.9994 0.9994 0.9995 0.9995 0.9995 0.9996 0.9996 0.9996 0.9996 0.9996 0.9996 0.9997 0.9997 0.9997 0.9997 0.9997 0.9997 0.9997 0.9998 0.9998 0.9998 0.9998 0.9998 0.9998 0.9998 0.9998 0.9999 0.9999 0.9999 0.9999 0.9999 0.9999 0.9999 0.9999 0.9999 0.9999 0.9999 0.9999 0.9999 0.9999 0.9999 0.9999 0.9999 0.9999 0.9999 0.9999 0.9999 Procedure for finding N(z)=0 (2) = P(Z
Step by Step Solution
There are 3 Steps involved in it
Get step-by-step solutions from verified subject matter experts
