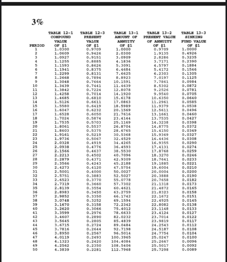
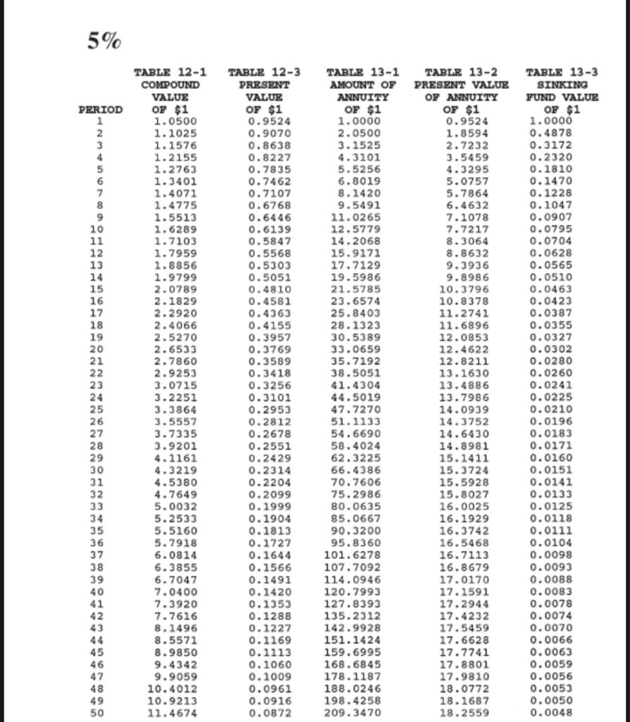
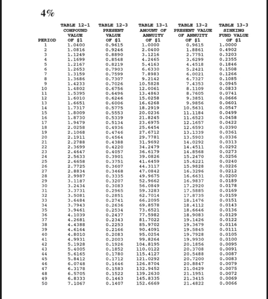
Question: 2% TABLE 12-1 TABLE 12-3 TABLE 13-1 TABLE 13-2 TABLE 13-3 COMPOUND PRESENT AMOUNT OF PRESENT VALUE SINKING VALUE VALUE ANNUITY OF ANNUITY FUND VALUE





Step by Step Solution
There are 3 Steps involved in it
1 Expert Approved Answer
Step: 1 Unlock
Question Has Been Solved by an Expert!
Get step-by-step solutions from verified subject matter experts
Step: 2 Unlock
Step: 3 Unlock
