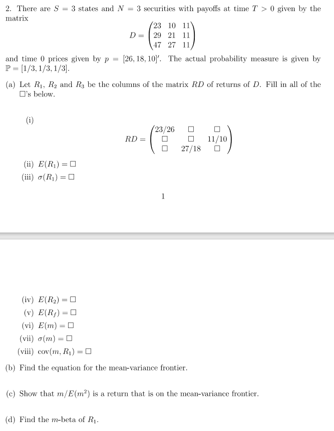
Question: 2. There are S = 3 states and N = 3 securities with payoffs at time T > 0 given by the matrix 23 10

2. There are S = 3 states and N = 3 securities with payoffs at time T > 0 given by the matrix 23 10 11 D= 29 21 11 47 27 11 and time 0 prices given by P (26, 18, 10)'. The actual probability measure is given by P = (1/3,1/3,1/3]. (a) Let R1, R2 and Rz be the columns of the matrix RD of returns of D. Fill in all of the O's below. (i) (23/26 RD= 11/10 27/18 (ii) E(R) = 0 (iii) o(Ri) = 0 1 (iv) E(R2) = 0 (v) E(R) = 0 (vi) E(m) = 0 (vii) o(m) = 0 (viii) cov(m, R) = 0 (b) Find the equation for the mean-variance frontier. (c) Show that m/E(m) is a return that is on the mean-variance frontier. (d) Find the m-beta of R. 2. There are S = 3 states and N = 3 securities with payoffs at time T > 0 given by the matrix 23 10 11 D= 29 21 11 47 27 11 and time 0 prices given by P (26, 18, 10)'. The actual probability measure is given by P = (1/3,1/3,1/3]. (a) Let R1, R2 and Rz be the columns of the matrix RD of returns of D. Fill in all of the O's below. (i) (23/26 RD= 11/10 27/18 (ii) E(R) = 0 (iii) o(Ri) = 0 1 (iv) E(R2) = 0 (v) E(R) = 0 (vi) E(m) = 0 (vii) o(m) = 0 (viii) cov(m, R) = 0 (b) Find the equation for the mean-variance frontier. (c) Show that m/E(m) is a return that is on the mean-variance frontier. (d) Find the m-beta of R
Step by Step Solution
There are 3 Steps involved in it
Get step-by-step solutions from verified subject matter experts
