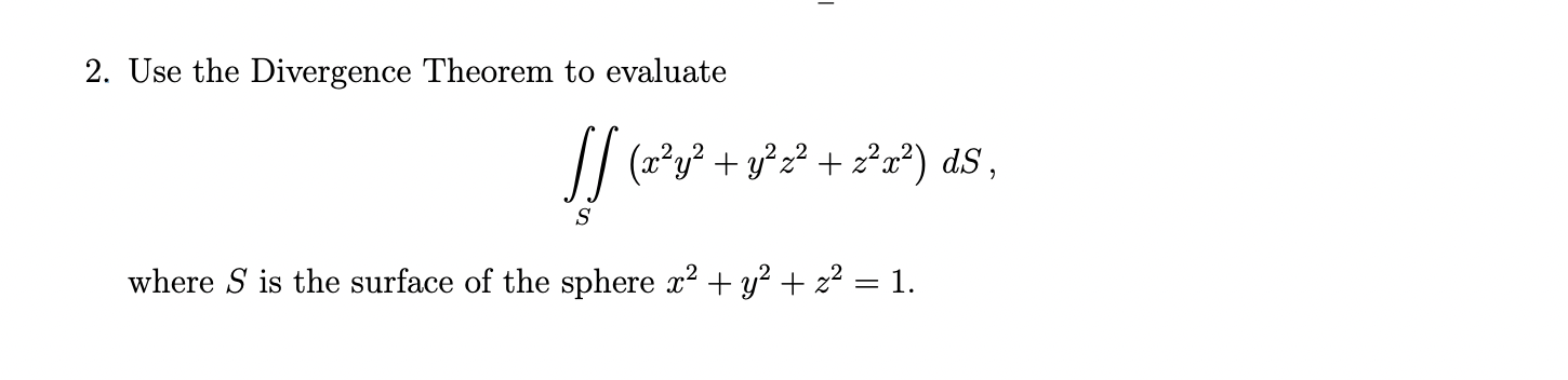
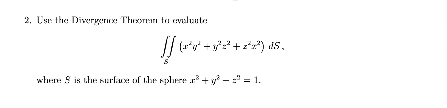
Question: 2. Use the Divergence Theorem to evaluate // ($2y2 + y2z2 + Z2332) d3, .9 where S is the surface of the Sphere 3:2 +


2. Use the Divergence Theorem to evaluate // ($2y2 + y2z2 + Z2332) d3, .9 where S is the surface of the Sphere 3:2 + 3/2 + 2:2 = 1
Step by Step Solution
There are 3 Steps involved in it
Get step-by-step solutions from verified subject matter experts
