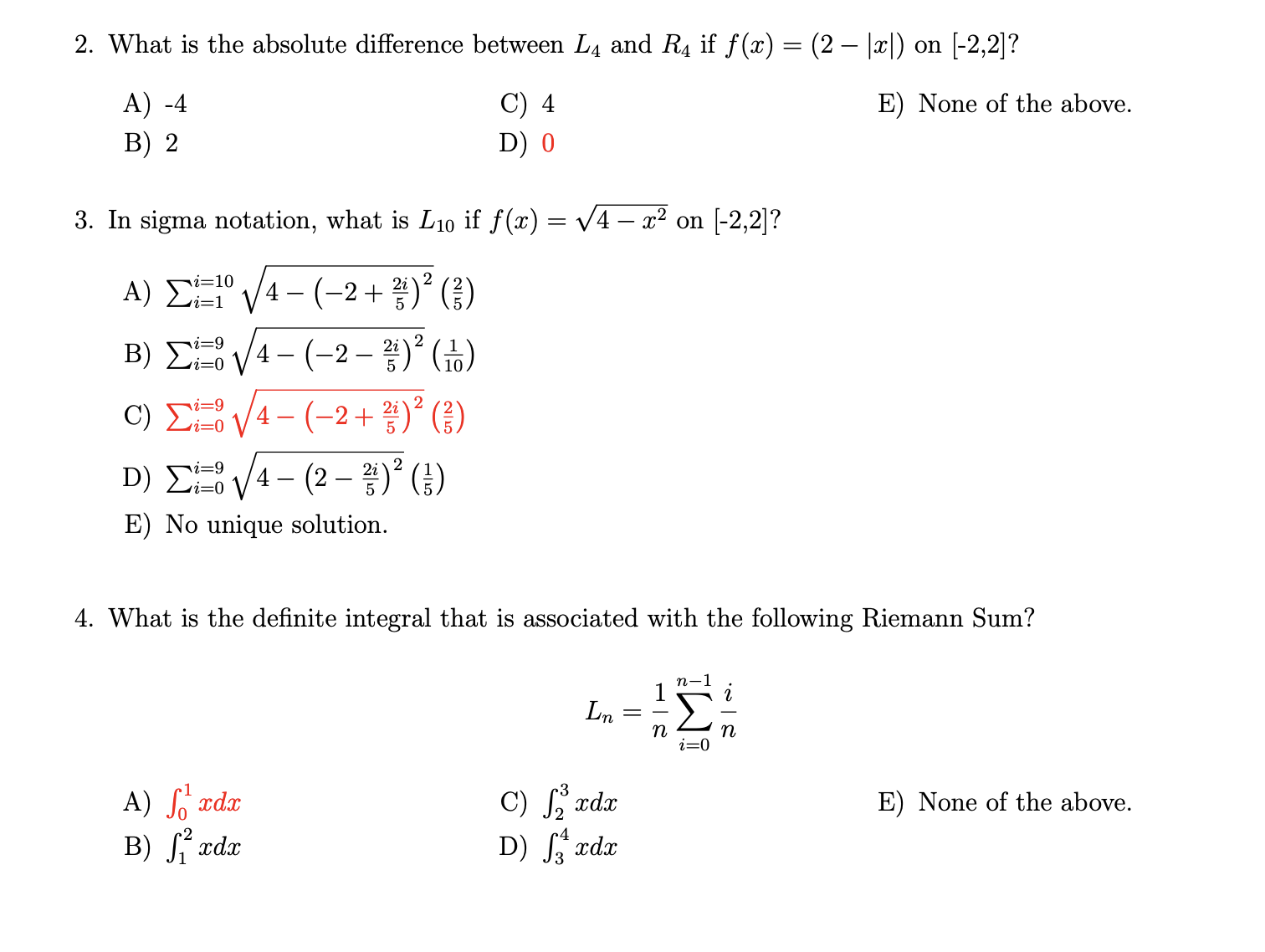
Question: 2. What is the absolute difference between L4 and RA if f(x) = (2 - (x|) on [-2,2]? A) -4 C 4 E) None of

![f(x) = (2 - (x|) on [-2,2]? A) -4 C 4 E)](https://s3.amazonaws.com/si.experts.images/answers/2024/06/666646ee72f82_862666646ee61c37.jpg)

![is Lio if f(x) = V4 - x2 on [-2,2]? A) _MT](https://s3.amazonaws.com/si.experts.images/answers/2024/06/666646ef23c2d_863666646ef0b65c.jpg)








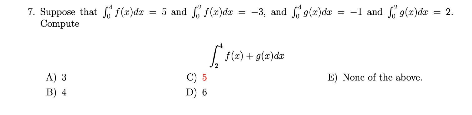
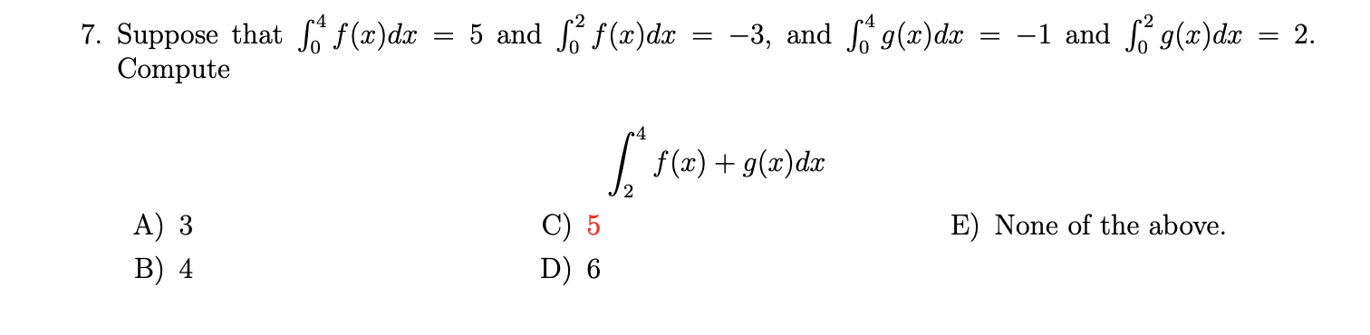
2. What is the absolute difference between L4 and RA if f(x) = (2 - (x|) on [-2,2]? A) -4 C 4 E) None of the above. B) 2 DO 3. In sigma notation, what is Lio if f(x) = V4 - x2 on [-2,2]? A) _MT V4- (-2+2) 2 (3) B) Ed V4- (-2-22) 2 C) 210 4 - (-2+ 22) 2 (2) D) ELO V4 - (2 - 3)2 (3) E) No unique solution. 4. What is the definite integral that is associated with the following Riemann Sum? In = LE i=0 A) So edx C) S2 xdx E) None of the above. B) 2 xdx D) S3 xdx7. Suppose that f; f(a:)da: = 5 and f; f(27)d27 = 3, and f04g(m)d3: = 1 and I; g(z)dz = 2. Compute f: f(23) + mm A) 3 C) 5 E) None of the above. B) 4 D) 6 9. When creating a left-endpoint Riemann sum on the interval [5, 10] using 10 rectangles, the 6th endpoint used to calculate the height of the approximativectangle would be A) 7 C 8 E) None of the above. B) 7.5 D) 8.5 10. What is d ra ext2 dt ? dx A) -2xe-22 E) None of the above. B e-2x D -2te-t215. Consider two functions y1 = f(x) and y2 = g(x), and that y1 / y2 except where they intersect. If these two functions intersect at 14 places, how many different integrals do you need to find the total area enclosed by the two curves? A) 13 C) 15 E) None of the above. B) 14 D) 1617. What is 23+2 4 3t-tdt ? A) 2 + C B) 215 + + C C) 23+2 6 In(2) + C D) 23+2 + C E) None of the above. 18. What is - x'edx ? A) 16 + e B -16 C) -16e-1 + 6 D) -16e + C E) None of the above.21. A jar contains 8 differently coloured balls. If you remove all the balls, one at a time, how many colour sequences are possible? > 7! 6 CU co 0 U 0000 ) ) J ) ) E 2 one of the above. 22. A jar contains 8 differently coloured balls. If you remove two balls, one at a time, how many different colour sequences are possible? -2)' None of the above
Step by Step Solution
There are 3 Steps involved in it
Get step-by-step solutions from verified subject matter experts
