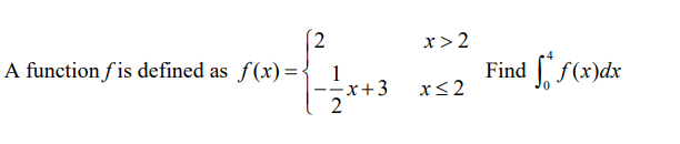
Question: 2 x>2 A function fis defined as f(x) = 4 Find f(x)dx - - x + 3 x52 0 2


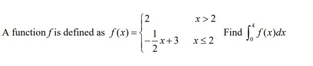
2 x>2 A function fis defined as f(x) = 4 Find f(x)dx - - x + 3 x52 0 2
Step by Step Solution
There are 3 Steps involved in it
1 Expert Approved Answer
Step: 1 Unlock
Question Has Been Solved by an Expert!
Get step-by-step solutions from verified subject matter experts
Step: 2 Unlock
Step: 3 Unlock
