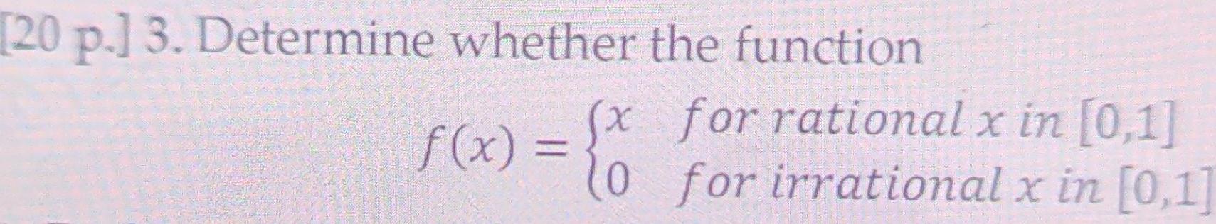
Question: 20 p 3 Determine whether the function f x x for rational x in 0 1 lo for irrational x in 0 1


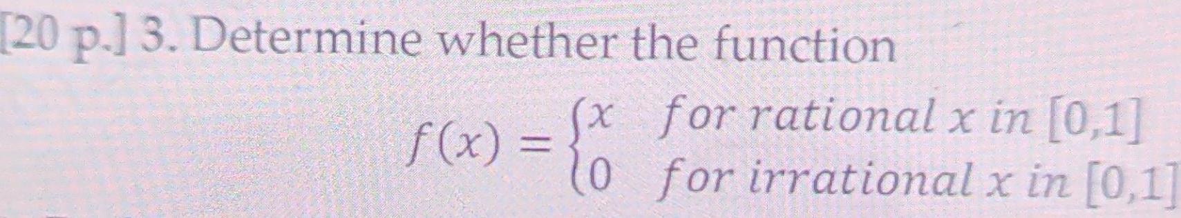
20 p 3 Determine whether the function f x x for rational x in 0 1 lo for irrational x in 0 1
Step by Step Solution
There are 3 Steps involved in it
1 Expert Approved Answer
Step: 1 Unlock
Question Has Been Solved by an Expert!
Get step-by-step solutions from verified subject matter experts
Step: 2 Unlock
Step: 3 Unlock
