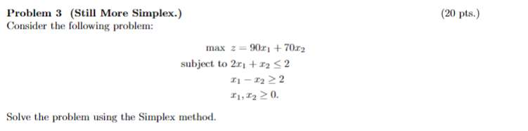
Question: (20 pts.) Problem 3 (Still More Simplex.) Consider the following problem: max z = 90x1 + 70. 2 subject to 2x1 + x2 2 21,1,

Step by Step Solution
There are 3 Steps involved in it
1 Expert Approved Answer
Step: 1 Unlock
Question Has Been Solved by an Expert!
Get step-by-step solutions from verified subject matter experts
Step: 2 Unlock
Step: 3 Unlock
