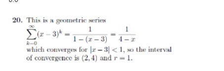
Question: 20. This is a geometric series E(x - 3) = 1 - (1-3) - T which converges for |2 -3)


20. This is a geometric series E(x - 3) = 1 - (1-3) - T which converges for |2 -3)
Step by Step Solution
There are 3 Steps involved in it
Get step-by-step solutions from verified subject matter experts
