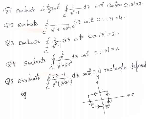
Question: 21 Evaluate integral 4 + 1 dz with Contours C: 121 = 2. 2 2 Evaluate $ . 1 de with C: 121 = 4

21 Evaluate integral 4 + 1 dz with Contours C: 121 = 2. 2 2 Evaluate $ . 1 de with C: 121 = 4 . C 2 + 102 2+9 23 Evaluate 6 - 2 - dz with C= 12/ = 2. 24- C 24 Evaluate 2 e do with c: 121 = 2 C 2+625 25 Evaluate 6 28 - 1 12 with c is rectangle defined ~ 2 (23+1 ) by
Step by Step Solution
There are 3 Steps involved in it
Get step-by-step solutions from verified subject matter experts
