Question: 2.1 Write, or obtain, a computer program that iterates the finite dif- ference Eqs. (2.6) for a given set of initial conditions. It is always


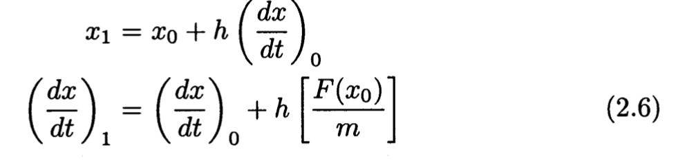
2.1 Write, or obtain, a computer program that iterates the finite dif- ference Eqs. (2.6) for a given set of initial conditions. It is always good practice to first convert the problem to dimensionless variables. Examine the following cases: (a) A one-dimensional simple harmonic oscillator moving in the x- direction with F = -Kx and initial conditions xo = a and (dx/dt)o Use variables 5 = x/a and t= Vk/mt; (b) A particle performing vertical motion in the upward z-direction in a gravitational field with F = --mg and initial conditions zo 0 and [dz/dt]o = vo. Use variables 5 = zg/v and T = = gt/vo; (c) Investigate the limit as the interval h0 in each case. = = X1 = xo + h da dt (),- (*). +- (PA) (2.6) 2.1 Write, or obtain, a computer program that iterates the finite dif- ference Eqs. (2.6) for a given set of initial conditions. It is always good practice to first convert the problem to dimensionless variables. Examine the following cases: (a) A one-dimensional simple harmonic oscillator moving in the x- direction with F = -Kx and initial conditions xo = a and (dx/dt)o Use variables 5 = x/a and t= Vk/mt; (b) A particle performing vertical motion in the upward z-direction in a gravitational field with F = --mg and initial conditions zo 0 and [dz/dt]o = vo. Use variables 5 = zg/v and T = = gt/vo; (c) Investigate the limit as the interval h0 in each case. = = X1 = xo + h da dt (),- (*). +- (PA) (2.6)
Step by Step Solution
There are 3 Steps involved in it
Get step-by-step solutions from verified subject matter experts
