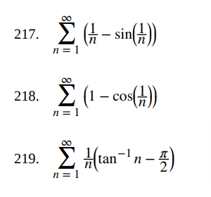
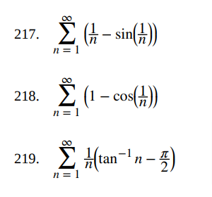
Question: 217. n - sin n 1=1 218. E 1 - cos 1 219. E 1 tanI n n 217. 218. 219. 1 cos tan


217. n - sin n 1=1 218. E 1 - cos 1 219. E 1 tanI n n
217. 218. 219. 1 cos tan
Step by Step Solution
There are 3 Steps involved in it
Get step-by-step solutions from verified subject matter experts
