Question: 23:15 . LTE 23.15 < Back MAT 1581 Assignment 4 Semest... Assignment 4 semester 1.2022 is a written assignment based on Guide 2, Chapter 7


23:15 . LTE
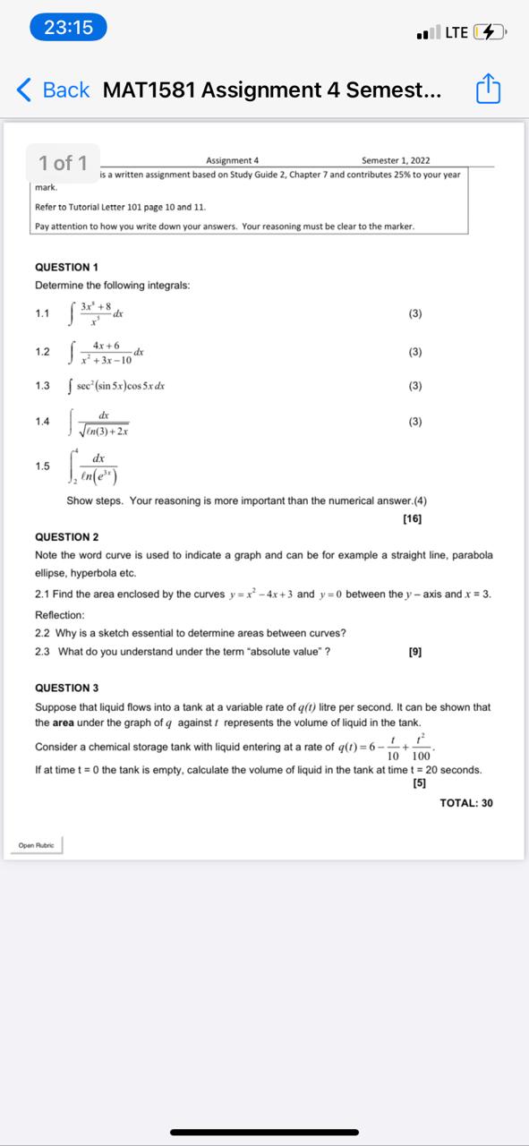
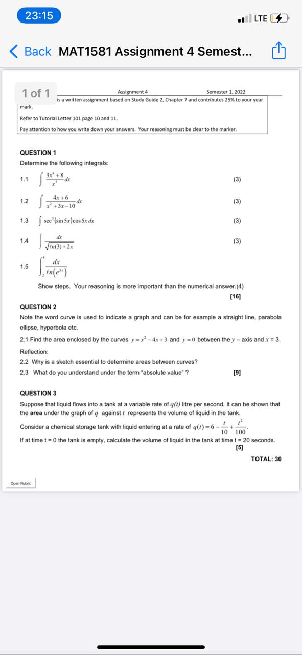
23.15 < Back MAT 1581 Assignment 4 Semest... Assignment 4 semester 1.2022 is a written assignment based on Guide 2, Chapter 7 and contributes 2 to year Reter to Tutorial Letter 101 page 10 and II. pav attention to how write your answers. clear to the marker _ QUESTION 1 Determine ttw following integrals: 1.1 1.3 1.5 f see (sin 5x dx (3) (3) (3) Show Steps. Your reasoning is more important than the numerical answer. (4) (161 QUESTION 2 Note the word curve is used to indicate a graph and can be for example a straight line, parabola ellipse. hyperbola etc. 2.1 Find the area enclosed by the curves y = x: 4x+ 3 and y = O between they axis and x = 3. 2.2 Why is a sketch essential to determhe areas between curves? 2.3 What do you understand under the term absolute value" ? QUESTION 3 (91 that liquid flows into a tank at a variable rate Of q(t) litre second. It can be shown that the area under the graph Of q against t represents the vdurne Of liquid in the tank. Consider a chemical storage tank with liquid entering at a rate Of g(r) 6 10 100 If at time t O tank is ernpty, cakulate Tue volume Of Equid in the tank at time t 20 seconds. [51 TOTAL: 30
Step by Step Solution
There are 3 Steps involved in it
Get step-by-step solutions from verified subject matter experts
