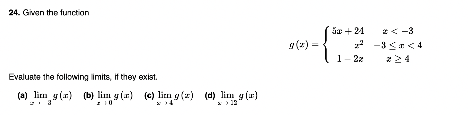
Question: 24. Given the function 5x + 24 a 24. Given the function Evaluate the following limits, if they exist. (a) lim g (c) (b) lim

24. Given the function 5x + 24 a
24. Given the function Evaluate the following limits, if they exist. (a) lim g (c) (b) lim g (c) (c) lim g (c) + 24 2 (d) lim g (c) 12
Step by Step Solution
There are 3 Steps involved in it
Get step-by-step solutions from verified subject matter experts
