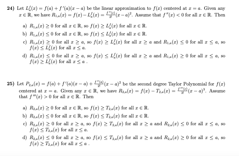
Question: 24) Let Li(x) = f(a) + f'(a)(x - a) be the linear approximation to f(r) centered at x = a. Given any r ER, we


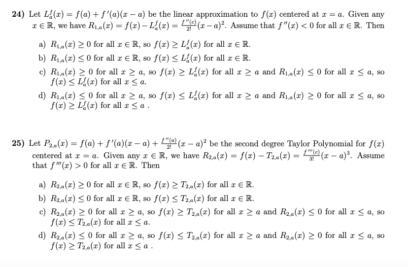
24) Let Li(x) = f(a) + f'(a)(x - a) be the linear approximation to f(r) centered at x = a. Given any r ER, we have Ri,a(x) = f(x) -Li(x) = 123(x-a)'. Assume that f"(x) 0 for all r E R. Then a) Rza(x) 2 0 for all r E R, so f(x) 2 T2,a(x) for all re R. b) Rza(x) Tea(x) for all r a
Step by Step Solution
There are 3 Steps involved in it
Get step-by-step solutions from verified subject matter experts
