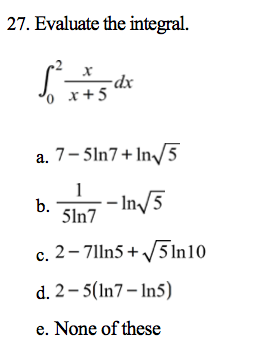
Question: 27. Evaluate the integral. X dx ox+5 a. 7 - 5In7 + Inv/ 5 b. 51n7 - Inv5 c. 2- 71In5+ /5In10 d. 2-5(In7- In5)






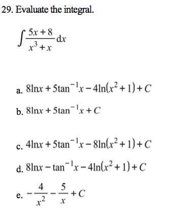
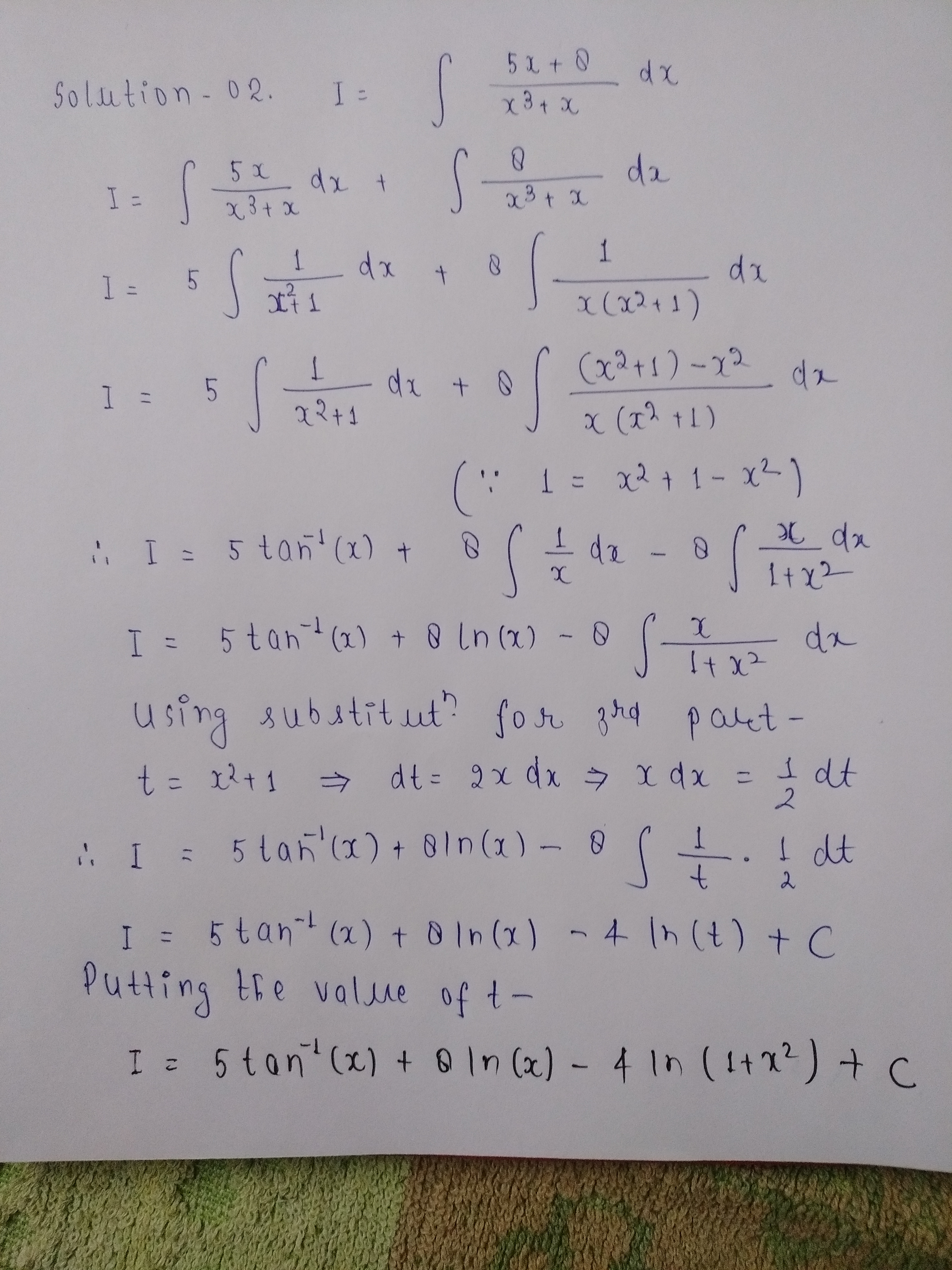
27. Evaluate the integral. X dx ox+5 a. 7 - 5In7 + Inv/ 5 b. 51n7 - Inv5 c. 2- 71In5+ /5In10 d. 2-5(In7- In5) e. None of these29. Evaluate the integral. 5x + 8 dx X + X a. 8Inx + Stan x -4In(x2 + 1)+ C b. 8Inx + Stan x + C c. 4Inx + 5tan x - 8In(x2 + 1)+ C d. 8Inx - tan x -4In(x2 + 1) + C 4 e. + C X5x + 0 Solution - 02. I = dx X3+ x 5 x dx I = + x 3 + 2 1 I = 5 dx 1 + 27 1 x ( x 2+ 1 ) 1 I = 5 dx + 0 ( x ( 2 + 1 ) - x 2 x ( I2 + 1 ) 1 = x 2 + 1 - x2 ) ", I = 5 tan (x ) + 8 It x 2 I = 5 tant ( x ) + 8 In ( x ) - 0 ( dx using substitut? for grid part- t = x 2 + 1 => dt = 2 x dx = x dx = I dt 2 1. I = 5 tan ( x ) + oin ( x ) - 8 I dt 2 I = 5 tan't ( x ) + 0 In ( x ) - 4 In (t ) + C Putting the value of t- I = 5 tan' ( x ) + 8 In ( xc) - 4 In ( 1+2(2 ) + C
Step by Step Solution
There are 3 Steps involved in it
Get step-by-step solutions from verified subject matter experts
