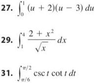
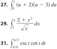
Question: 27 f u 2 u 3 du 29 31 4 2 x x w 2 m 6 dx csct cott dr


27 f u 2 u 3 du 29 31 4 2 x x w 2 m 6 dx csct cott dr
Step by Step Solution
There are 3 Steps involved in it
1 Expert Approved Answer
Step: 1 Unlock
Question Has Been Solved by an Expert!
Get step-by-step solutions from verified subject matter experts
Step: 2 Unlock
Step: 3 Unlock
