Question: 28 The domain of the function f(a:) = where a: can only exist on the interval #133: 28 NOTE: Answer should be entered in interval



























![for infinity use 00. Example: (-oo,2]U[4,oo). Use DNE for the empty set.](https://s3.amazonaws.com/si.experts.images/answers/2024/06/66684398e905a_08066684398da6e8.jpg)










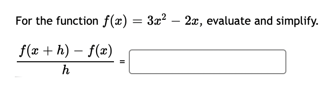
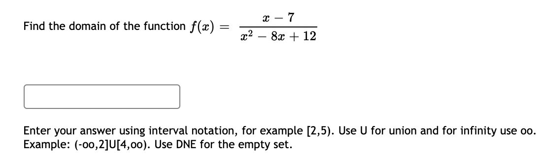
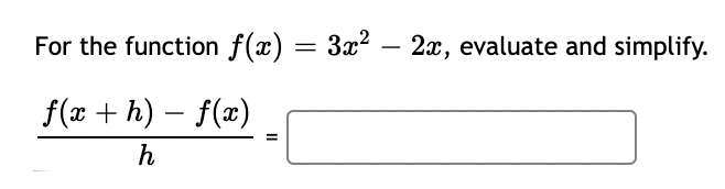
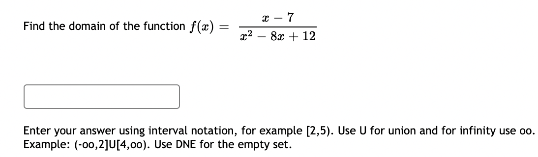
28 The domain of the function f(a:) = where a: can only exist on the interval #133: 28 NOTE: Answer should be entered in interval notation. - Caught warning in the question code: Division by zero on line 1 in file {varfapp/currentlassessment/mathphpl.phpi590) : evalu'd code Domain of a Quadratic Function Using the 191mph and table as a reference, identify the Domain of the function f(a:) = 13:2 2. Write your answer in interval Notation. Domain of a Rational function Using the graph and table as a reference, identify the Domain of the function 1 f (3:) = . Write your answer in interim:I Notation. Given the function f(:n) = 5a,- 1, evaluate and simplify the expressions below. See special instructions on how to enter your answers. m = mm = \"\"+h)_\""') = h 2 For the function f(@) = -, evaluate and simplify the difference quotient: f(ath) - f(2) = hFor the function f(a) = , evaluate and simplify the difference quotient: f(ath) - f(x) = ha+h Simplify the expression: h Enter the numerator and denominator separately in the boxes below. If the denominator is 1, enter the number 1. Do not leave either box blank. :1 :1 For the function f(a) = 3x2 - 2x, evaluate and simplify. f(x + h) - f(a) = h\fFor the function f(a) = 4x - 2, evaluate and simplify. f(x + h) - f(2) = hFind the domain of function Mm) = 1/3 2a: 3:2. Write your answer using interval notation in the box below. Enter your values as integers or reduced fractions. \"\""a'" \"(\"0 = m The domain of the function f(x) = V3x - 44 Has the form Ox A Where A = Assume A is the values in the domain for which the function exists.237 Find the domain of the function a: = ) m2 89: + 12 S Enter your answer using interval notation, for example [2,5). Use U for union and for infinity use 00. Example: (-oo,2]U[4,oo). Use DNE for the empty set. Write the domain of the function using interval notation. -6 -4 13 -2 1 2 3 4 5 6 NOTE: If you do not see an endpoint, assume that the graph continues forever in the same direction. Entry example: [2,3) or (-00, 5). Enter -oo for negative infinity and oo for infinity.Find the domain and range of the function graphed below. NOTE: if you do not see an endpoint, assume that the graph continues forever in the same direction. Entry example: [2,3) or (-oo,5). Enter -oo for negative infinity and 00 for infinity. Find the domain and range of the following graph. NOTE: If you do not see an endpoint, assume that the graph continues forever in the same direction. Entry example: [2,3) or (-oo,5). Enter -00 for negative infinity and 00 for infinity. 7 Find the domain of the function f(a) = x - 7 Ofx | x 7}Write the domain of the function us1ng Interval notation. NOTE: If you do not see an endpoint, assume that the graph continues forever in the same direction. Entry example: [2,3) or (-oo,5). _Enter -oo for negative infinity and 00 for infinity. 36 The domain of the function f(a:) = m x _ 1:] is all real numbers :1: except for a: where 2': equals
Step by Step Solution
There are 3 Steps involved in it
Get step-by-step solutions from verified subject matter experts
