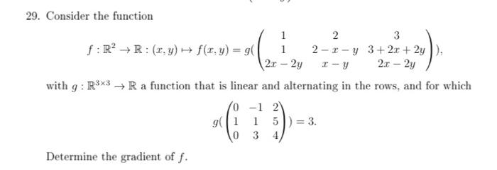
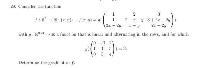
Question: 29. Consider the function 1 2 3 f : R' - R : (x, y) - f(x.y) = 9( 1 2-x-y 3+2x+ 2y ) 2x


29. Consider the function 1 2 3 f : R' - R : (x, y) - f(x.y) = 9( 1 2-x-y 3+2x+ 2y ) 2x - 2y I- y 2x - 2y with g : R3x3 - R a function that is linear and alternating in the rows, and for which 1 1 = 3. 3 Determine the gradient of f
Step by Step Solution
There are 3 Steps involved in it
Get step-by-step solutions from verified subject matter experts
