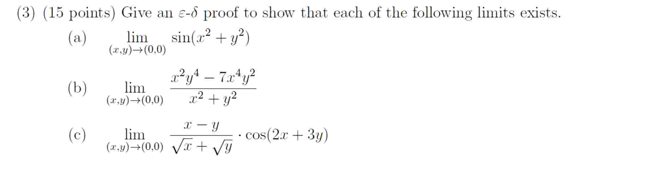
Question: ( 3 ) ( 1 5 points ) Give a n - p r o o f t o show that each o f the
points Give show that each the following exists.
Step by Step Solution
There are 3 Steps involved in it
1 Expert Approved Answer
Step: 1 Unlock
Question Has Been Solved by an Expert!
Get step-by-step solutions from verified subject matter experts
Step: 2 Unlock
Step: 3 Unlock
