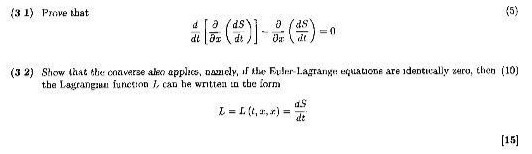
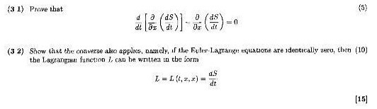
Question: (3 1) Prove that (5) 0 (3 2) Show that the onaverse also applies, nomicly, If the Euler Lagrange equations are identically zero, then (10)


(3 1) Prove that (5) 0 (3 2) Show that the onaverse also applies, nomicly, If the Euler Lagrange equations are identically zero, then (10) the Lagrangian function / can be written in the form [15]
Step by Step Solution
There are 3 Steps involved in it
Get step-by-step solutions from verified subject matter experts
