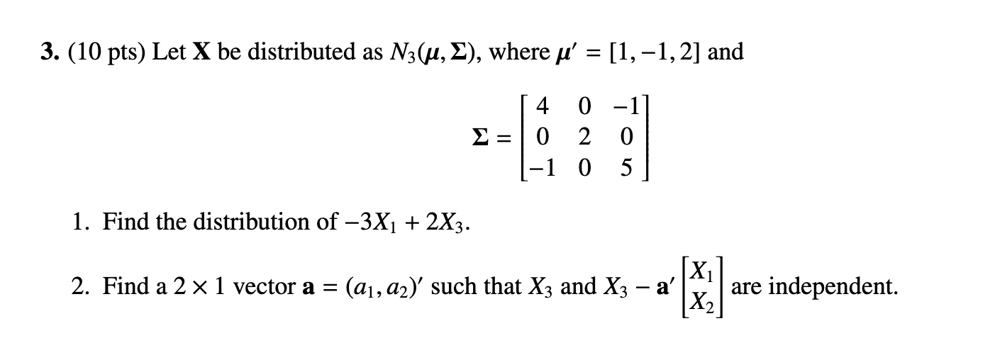
Question: 3. (10 pts) Let X be distributed as N3(u,2), where p' = [1, 1, 2] and 020 105 E: 4 01] 1. Find the distribution

3. (10 pts) Let X be distributed as N3(u,2), where p' = [1, 1, 2] and 020 105 E: 4 01] 1. Find the distribution of 3X1 + 2X3. . X 2. F1nd a 2 x 1 vector a = (a1,a2)' such that X3 and X3 a' l 1 1 are independent. X2
Step by Step Solution
There are 3 Steps involved in it
1 Expert Approved Answer
Step: 1 Unlock
Question Has Been Solved by an Expert!
Get step-by-step solutions from verified subject matter experts
Step: 2 Unlock
Step: 3 Unlock
