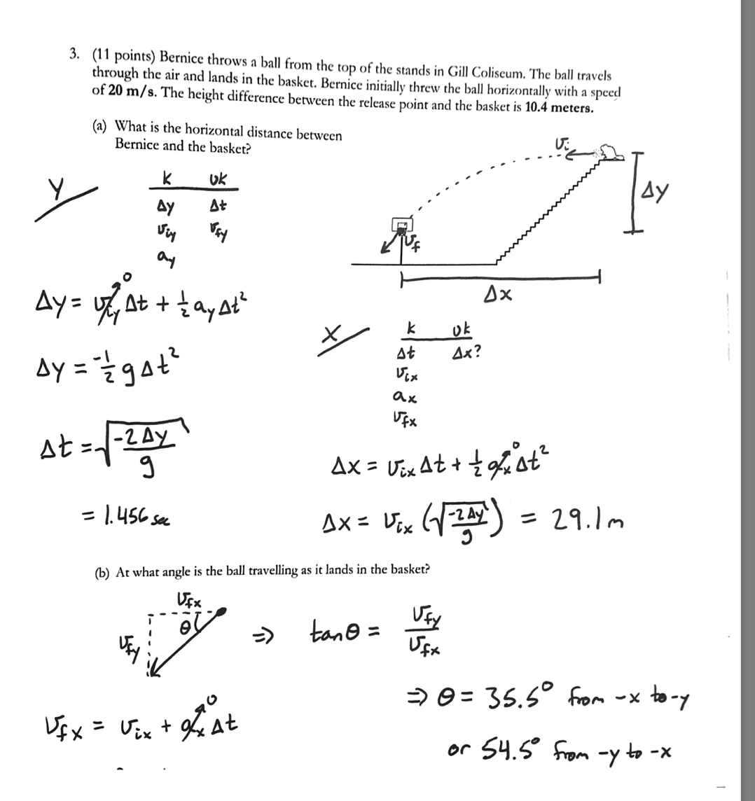
Question: 3. (11 points) Bernice throws a ball from the top of the stands in Gill Coliseum. The ball travels through the air and lands

3. (11 points) Bernice throws a ball from the top of the stands in Gill Coliseum. The ball travels through the air and lands in the basket. Bernice initially threw the ball horizontally with a speed of 20 m/s. The height difference between the release point and the basket is 10.4 meters. (a) What is the horizontal distance between Bernice and the basket? k Uk Viy Ay = 17, At + { ay At Ay = = = = {gA k uk st Ax? Vix ax VFx st. -2AY g = 1.456 sec Ax = Vix At + + %*/ x 10+ Ax = ix (-Zay 1) = 29.1 (b) At what angle is the ball travelling as it lands in the basket? fx = ix + fy => tan = fx => 0= 35.5 from -x to-y or 54.5 from -y to -x
Step by Step Solution
There are 3 Steps involved in it
Get step-by-step solutions from verified subject matter experts
