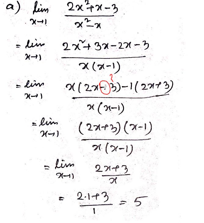
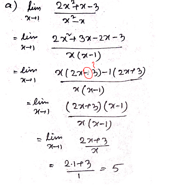
Question: 3. (20 points) Evaluate the limits by (a) by simplifying 2x2 + x- 3 lim -1 x2 - x (b) combining rational functions then simplify




3. (20 points) Evaluate the limits by (a) by simplifying 2x2 + x- 3 lim -1 x2 - x (b) combining rational functions then simplify 1 - 2x lim x 2 - x - 20a ) lim 2x +321-221- 3 x (21 -1 ) = dim 21 ( 27()3)- 1 (27173) X- ) 2 ( 21 - 1) ( 271 - 7 3 ) ( 21 - 1 ) 2 (2 - 1 ) = lim = 2.173 - 5
Step by Step Solution
There are 3 Steps involved in it
Get step-by-step solutions from verified subject matter experts
