Question: 3. [5 marks Let u = cty + z,v = xy +yz + zx, w = ryz, and suppose that f(u, v, w) is a


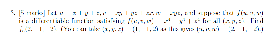
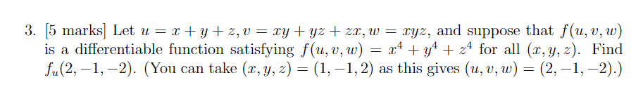
3. [5 marks Let u = cty + z,v = xy +yz + zx, w = ryz, and suppose that f(u, v, w) is a differentiable function satisfying f(u, v, w) = x* + + 2* for all (x, y, z). Find fu(2, -1, -2). (You can take (x, y, z) = (1, -1, 2) as this gives (u, v, w) = (2, -1, -2).)
Step by Step Solution
There are 3 Steps involved in it
Get step-by-step solutions from verified subject matter experts
