Question: 3) A polynomial P is given. P ( x ) = x 4 + 18 x 2 + 81 (a) Find all zeros of P
3) A polynomial P is given.
P(x) = x4 + 18x2 + 81
(a) Find all zeros of P, real and complex. (Enter your answers as a comma-separated list. Enter all answers including repetitions.)
| x = |
(b) Factor P completely.
| P(x) = |
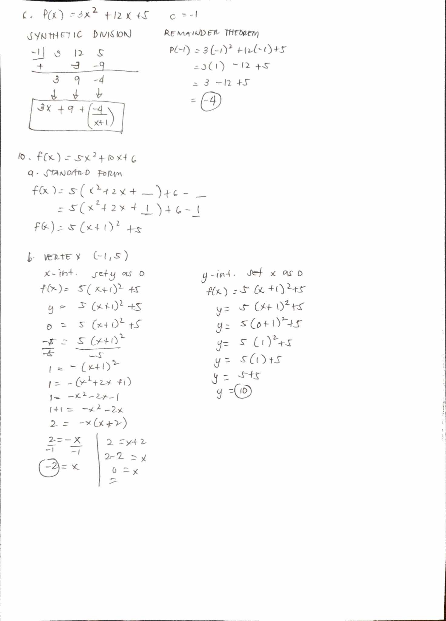
6)Use synthetic division and the Remainder Theorem to evaluate P(c).
P(x) = 3x2 + 12x + 5, c = ?1
P(?1)=
10)A quadratic functionfis given.
f(x) =5x2+10x+6
(a) Expressfin standard form.
| f(x) | = |
(b) Find the vertex andx- andy-intercepts off. (If an answer does not exist, enter DNE.)
| vertex | (x,y) | = | |||
| x-intercept | (x,y) | = | |||
| y-intercept | (x,y) | = |
(c) Sketch a graph off.
(d) Find the domain and range of f. (Enter your answers using interval notation.) domain
range







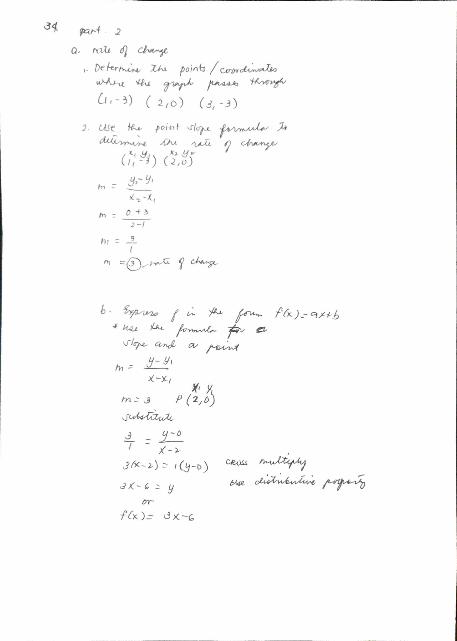
\f\f\f\f( . P(X ) = 3X2+ 12 X +5 C = -1 SYNTHETIC DIVISION REMAINDER THEOREM 3 12 5 P ( - 1 ) = 3 (- 1) 2 + 121 - 1 ) +5 - 9 =3 (1 ) - 12 +5 3 9 -4 = 3- 12 + 5 V 4 -4 3x + 9 + 4 x+ 1 10 . f ( x ) - 5 x 2 + 1 x+6 Q . STANDARD FORM f ( x ) = 5 ( x 2 +2 x + - ) +6 - _ = 5 ( x + 2 x+ 1 ) +6 -1 F G ) = 5 ( x + 1 ) 2 +5 6. VERTEX (-1 , 5 ) x- int . sety as o y- int . set x as o f ( x ) = 5 ( x+1) 2 +5 f ( x ) = 5 (x + 1 ) 2 +5 g = J ( x x1 ) 2 +5 y = 5 ( x + 1) 2 +5 0 = 5 ( x + 1) 2 +5 y = 5 ( 0+ 1 ) 2 +5 - 5 = 5 ( x + 1 ) 2 y = 5 ( 1 ) 2 + 5 1 = - ( x+ 1 ) 2 4 = 5 ( 1 ) +5 1 = - ( x 2 + 24 + 1 ) 9 = 5+5 1= -x2-27-1 9 = 10 1+1 = -x2-2x 2 = -x (x+2) 2= - X 2 = X + 2 2- 2 2 X -2 = X 6 =XC. GRAPH X 31- 2 1 -1 0 1 ) y| 25 10 /5 10 25 -3 -2 - 2 3 d. domain : all real numbers Range : since a >o 570 then y Z k Range : 4 2534. part . 2 a. rate of change 1. Determine the points / coordinates where the grouch passes through ( 1 1 - 3 ) ( 210 ) ( 3 , - 3 ) 1 . use the point slope formula to determine the rate of change x 2 yz 1 3 ) ( 2, 0 ) m = X 2 - X, m = 0 + 3 2 -1 ME m = (3 ) mati 9 change 6. Express f in the four f (x )- ax+b * nee the formula for a slope and a point m = y - y . X-X 1 m = 3 P ( 2, 0 ) substitute X - 2 3 ( x - 2 ) = 1 ( y-0 ) cross multiply 3 x - 6 = y use distributive poyang or f ( x ) = 3 x - 6
Step by Step Solution
There are 3 Steps involved in it
Get step-by-step solutions from verified subject matter experts
