Question: 3. Consider the differential equation = (wo - in)(t) + f(t), (1) dt where wo, y E R. The function f(t) is an arbitrary driving

3. Consider the differential equation = (wo -3. Consider the differential equation = (wo -3. Consider the differential equation = (wo -3. Consider the differential equation = (wo -
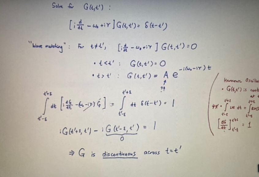
3. Consider the differential equation = (wo - in)(t) + f(t), (1) dt where wo, y E R. The function f(t) is an arbitrary driving term. (a) Defining G(t, t') as a solution to d dt G(t, t') = (wo - iy)G(t, t') + 8(t - t'), Explain, with proof, how solutions to Eq. (1) can be obtained in terms of G(t, t'). (3 marks){13) Find the solution for G(t, t') satisfying the causal initial conditions 60:, t'} = o for ts: t'. Hint: for t :1:- t', tr},r an exponential ansats. {=1 marks) \fSolve for Git, t' ) : [ist - uptir ] GH, + ' ) = 8 (-+1 ) "Ware matching " : For the's [if - worit ] G(t, + ' ) = 0 . the ' : G ( t , t ' ) = 0 "tot' : Git,t' ) = A p-(w.-14)t Harmon Oscilla . Git , * ' ) is cont at [ at 8 (4 -#') = 1 tx . [ us dt = RHS : G HE'S, + ' J - ; G (- E, "' ) = 1 = 1 O G is discontinuous across tit

Step by Step Solution

There are 3 Steps involved in it

1 Expert Approved Answer
Step: 1 Unlock blur-text-image
Question Has Been Solved by an Expert!

Get step-by-step solutions from verified subject matter experts

Step: 2 Unlock
Step: 3 Unlock

Students Have Also Explored These Related Mathematics Questions!