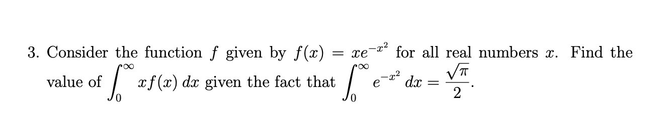
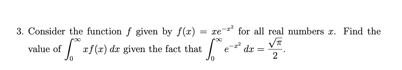
Question: 3. Consider the function f given by f(3:) = 233932 for all real numbers 3:. Find the value of f a: f (:12) d1: given

 3. Consider the function f given by f(3:) = 233932 for

all real numbers 3:. Find the value of f a: f (:12)

3. Consider the function f given by f(3:) = 233932 for all real numbers 3:. Find the value of f a: f (:12) d1: given the fact that f 63'2 dz: = g 0 0

Step by Step Solution

There are 3 Steps involved in it

1 Expert Approved Answer
Step: 1 Unlock blur-text-image
Question Has Been Solved by an Expert!

Get step-by-step solutions from verified subject matter experts

Step: 2 Unlock
Step: 3 Unlock

Students Have Also Explored These Related Mathematics Questions!