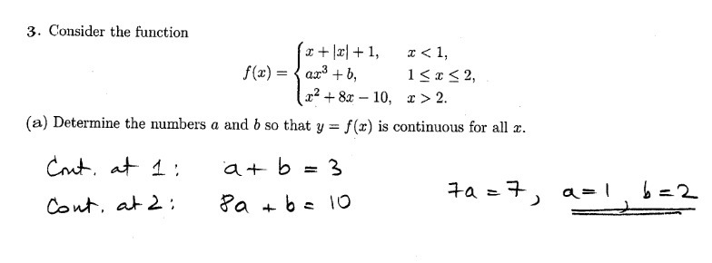
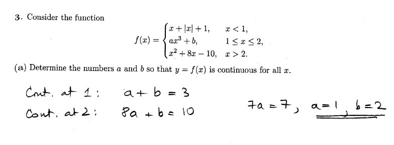
Question: 3. Consider the function * + (x| +1, I 2. (a) Determine the numbers a and b so that y = f(x) is continuous for


3. Consider the function * + (x| +1, I 2. (a) Determine the numbers a and b so that y = f(x) is continuous for all z. Cont. at 1 : at b = 3 Cont. at 2 : Pa + 6 = 10 7a= 7, a= 1 b= 2
Step by Step Solution
There are 3 Steps involved in it
Get step-by-step solutions from verified subject matter experts
