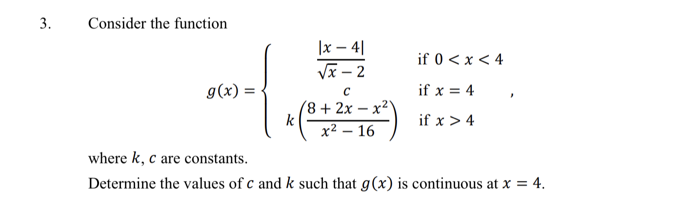
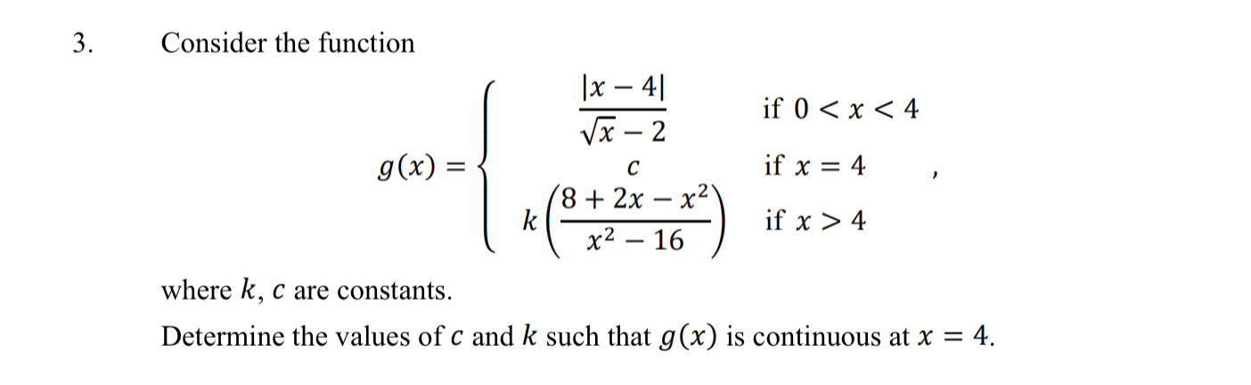
Question: 3. Consider the function |x - 41 if 0 4 x2 - 16 where k, c are constants. Determine the values of c and k


3. Consider the function |x - 41 if 0
Step by Step Solution
There are 3 Steps involved in it
Get step-by-step solutions from verified subject matter experts
