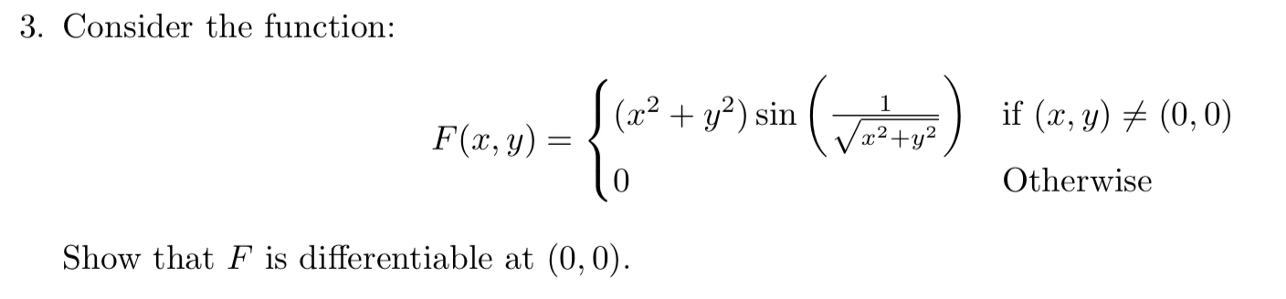
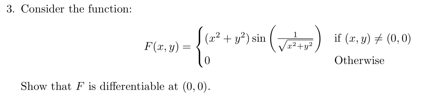
Question: 3. Consider the function: (x2 + 32) sin 1 F(x, y) = if (x, y) + (0, 0) x2 +y2 0 Otherwise Show that F


3. Consider the function: (x2 + 32) sin 1 F(x, y) = if (x, y) + (0, 0) x2 +y2 0 Otherwise Show that F is differentiable at (0, 0)
Step by Step Solution
There are 3 Steps involved in it
Get step-by-step solutions from verified subject matter experts
