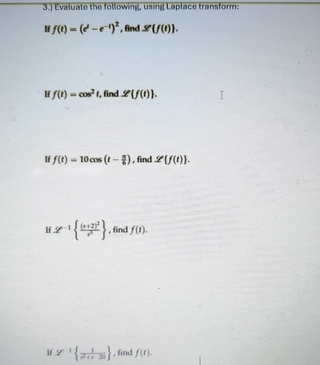
Question: 3 . ) Evaluate the following, using Laplace transform: If f ( t ) = ( e t - e - t ) 2 ,
Evaluate the following, using Laplace transform:
If find
If find
If find
If find
If find
Step by Step Solution
There are 3 Steps involved in it
1 Expert Approved Answer
Step: 1 Unlock
Question Has Been Solved by an Expert!
Get step-by-step solutions from verified subject matter experts
Step: 2 Unlock
Step: 3 Unlock
