Question: 3. Let r = r(x, y), x = x(s, t) and y = y(t). Find of at (s, t) = (1, 0) given x(1, 0)




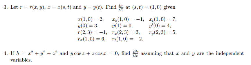
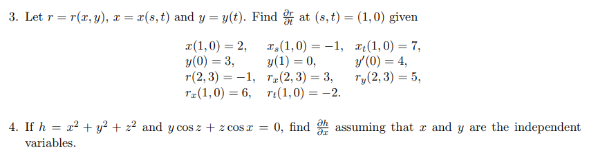
3. Let r = r(x, y), x = x(s, t) and y = y(t). Find of at (s, t) = (1, 0) given x(1, 0) = 2, Is(1,0) = -1, It(1,0) = 7, y(0) = 3, y(1) = 0, y' (0) = 4, r(2, 3) = -1, Tx(2, 3) = 3, Ty (2, 3) = 5, Tx(1, 0) =6, rt(1, 0) = -2. 4. If h = x2 + y' + 2 and ycos z + z cose = 0, find Oh assuming that x and y are the independent variables.5. Decide whether each statement is true or false. If true, explain what strategy you would use to find the absolute maximum and minimum values. (a) Every continuous function f(r, y) must attain an absolute minimum and absolute maximum value on * + 4y'
Step by Step Solution
There are 3 Steps involved in it
1 Expert Approved Answer
Step: 1 Unlock
Question Has Been Solved by an Expert!
Get step-by-step solutions from verified subject matter experts
Step: 2 Unlock
Step: 3 Unlock
