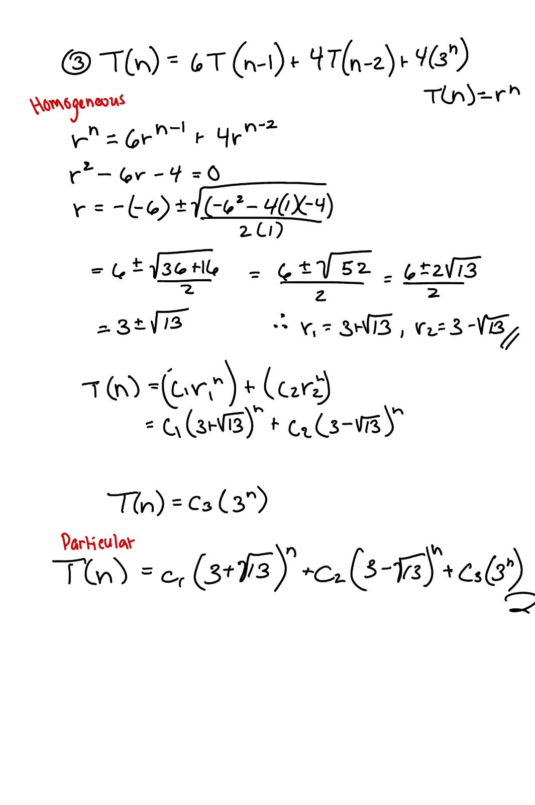
Question: 3 . Please help me check my answer, it must be incorrect.. I don't understand the topic well so i would appreciate it if you

3. Please help me check my answer, it must be incorrect.. I don't understand the topic well so i would appreciate it if you could describe the correct way to solve this recursion.
 3. Please help me check my answer, it must be incorrect..

Step by Step Solution

There are 3 Steps involved in it

1 Expert Approved Answer
Step: 1 Unlock blur-text-image
Question Has Been Solved by an Expert!

Get step-by-step solutions from verified subject matter experts

Step: 2 Unlock
Step: 3 Unlock

Students Have Also Explored These Related Databases Questions!